Auditor Líder ISO 9001:2015 e autor de centenas de artigos sobre Gestão da Qualidade, sempre acreditei que as pessoas têm o poder de mudar o mundo a sua volta, desde que estejam verdadeiramente engajadas nisso. Por isso me dedico a ajudar as pessoas a criar laços verdadeiros com seu trabalho, porque pessoas engajadas mudam o mundo!
- Davidson Ramoshttps://blogdaqualidade.com.br/author/davidsonforlogic-net/
- Davidson Ramoshttps://blogdaqualidade.com.br/author/davidsonforlogic-net/
- Davidson Ramoshttps://blogdaqualidade.com.br/author/davidsonforlogic-net/
- Davidson Ramoshttps://blogdaqualidade.com.br/author/davidsonforlogic-net/
O Método do Caminho Crítico (em inglês Critical Path Method, ou CPM) surgiu, inicialmente, para gerenciar projetos mais extensos e complexos, como a fabricação de produtos que necessitam de grande infraestrutura e geralmente são construídos no sistema de layout fixo (navios e aviões por exemplo).
Porém, a técnica é uma metodologia muito versátil, que pode tranquilamente ser utilizada para gerenciar qualquer tipo de projeto e até mesmo linhas de produção.
O método é utilizado em conjunto com o diagrama de redes PERT (do inglês: Program Evaluation and Review Technique), organizando em conjunto as tarefas e etapas do projeto para visualizar melhor as atividades e encontrar o tempo total de duração do projeto ou atividade.
Com o CPM PERT, é possível determinar melhor quanto tempo um projeto levará para ser finalizado e compreender melhor quais atividades precisam ser feitas, bem como em que ordem elas terão de ser executadas. O método também auxilia a direcionar melhor os recursos que serão utilizados.
Como o Método do caminho Crítico funciona?
O método CPM procura representar a execução do projeto de forma gráfica, utilizando o diagrama de redes mostrar a ligação e dependência das tarefas. Para fazer isso, a metodologia utiliza os seguintes símbolos:
1- Setas
As setas representam as tarefas que precisam ser executadas durante o projeto. Geralmente são nomeadas por letras. Ainda nas setas, é preciso colocar o tempo que as tarefas levarão para ser executadas. No exemplo abaixo, a tarefa A levará 5 dias para ser executada.
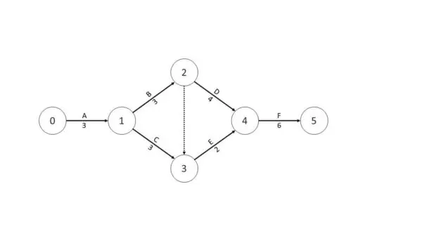
2- Setas pontilhadas (atividade imaginária ou fantasma)
As setas pontilhadas são utilizadas para indicar o que o método chama da atividade imaginária ou fantasma. Essa atividade na verdade não existe, não está presente no projeto, porém marca um ajuste de programação, mostrando que determinadas atividades tem dependência de outras atividades. Explicarei melhor isso mais a frente, quando mostrar um exemplo.
3- Círculos
São chamados de “nós” e simbolizam a transição entre as tarefas, ou seja, o término de uma atividade e o início de outra. Aos círculos se ligam as setas, sejam normais ou as pontilhadas, podem ser o ponto de partida da seta ou o destino a que ela indica. Os nós são enumerados para facilitar a identificação dos momentos do projeto.
O que é “Caminho Crítico”?
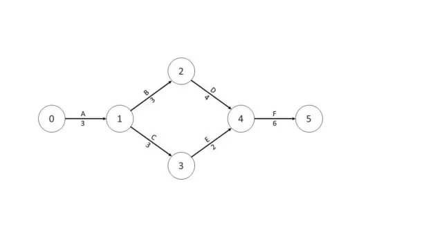
No CPM, caminho é a ordem em que as tarefas são feitas, indicando uma sequência a ser seguida. Caminho Crítico é, então, a sequência que leva mais tempo para ser finalizada, indicando o tempo máximo que um projeto levará. Vejamos um exemplo de diagrama de projeto preenchido.
O gráfica representa um projeto com 6 tarefas a serem executadas (A, B, C, D, E e F) e deve ser interpretado da esquerda para a direita. Dessa forma, percebemos que a atividade A é a inicial, e as atividades B e C são as próximas a serem executadas. Do mesmo modo, para que as atividades B e C sejam realizadas, primeiramente é necessário realizar a atividade A.
Neste exemplo, temos 2 caminhos para chegar à conclusão do projeto:
O 1º seria executando as atividades A, B, D e F. Somando os tempos que cada tarefa leva para ser feita, teríamos um caminho com 16 dias de duração.
O 2º seria executando as atividades A, C, E e F. Somando os tempos que cada tarefa leva para ser feita, teríamos um caminho com 14 dias de duração.
Nesse caso, o Caminho Crítico para a execução do projeto seria ABDF, pois é o que leva mais termo para ser finalizado. Nessa metodologia, o Caminho Crítico é utilizado para estimar a duração do projeto, sendo o Tempo do Caminho Crítico Igual ao tempo de execução do projeto.
No nosso exemplo, o tempo estimado para o término do projeto é, então, de 16 dias.
Atividade imaginária
Vamos alterar só um pouquinho o nosso exemplo anterior, analise este diagrama e tente encontrar o Caminho Crítico:
Agora, imaginemos que, para executar a tarefa E, nós precisamos que a tarefa B e a tarefa e a tarefa C estejam finalizadas. Nesse caso utilizamos uma seta pontilhada para identificar a dependência entre as tarefas. A seta pontilhada não é uma tarefa do projeto, somente indica que para que a tarefa E seja executada, precisamos que a B e a C sejam concluídas.
Sem a atividade imaginária (seta pontilhada), a tarefa E só precisaria da finalização da tarefa C para começar. Dessa forma, devido as atividades B e C terem tempos diferentes (3 dias para a tarefa B; e 2 dias para a C), a tarefa E não pode começar imediatamente após o término da C, pois precisaria esperar 1 dia para que a atividade B fique pronta.
Folgas de atividades no CPM
As folgas são o tempo ocioso entre as atividades que estão fora do caminho crítico. Pegando como exemplo o diagrama do tópico anterior, vimos que por causa da dependência entre as atividades, após o término da atividade C, é preciso esperar 1 dia para que a atividade B fique pronta e, só então, realizar a atividade E. Esse tempo de 1 dia “ocioso” entre as tarefas é uma folga no projeto.
É interessante calcular as folgas pois, elas indicam a prioridade e importância das atividades. Por exemplo, caso a atividade B atrase 1 dia, ainda sim o projeto estará no prazo, pois ela tinha uma folga de 1 dia para a execução da tarefa E. Isso não ocorre com a tarefa C, caso ela atrase vai atrasar todo o projeto pois não há folga na sua execução.
Porque usar o Método do Caminho Crítico
Essa técnica auxilia muito no planejamento de projetos mais extensos, que dependem de prazos muito específicos e não podem sofrer atrasos. Ela também ajuda a compreender melhor em quais atividades ou tarefes é preciso dar mais foco, e isso reduz significativamente a chance de um projeto, processo ou produção parar.
Fazendo uma analogia com a produção de bens, com Método do Caminho Crítico você encontra os gargalos do seu projeto, podendo focar seus esforços para mantê-los em dia sem esquecer de outros pontos do projeto.
Ouça esse episódio especial do Qualicast para entender um pouco mais sobre a gestão de projetos de Qualidade!
Referências
MARTINS, PETRÔNIO G.; LAUGENI. Fernando P. Administração da Produção.São Paulo : Saraiva, 5ª Ed., 2005.
DAVIS, M.M. Fundamentos da Administração da Produção. Porto Alegre: Bookman, 3ª Ed., 2001.
Artigo revisado em 27/07/2017







16 comentários em “Método do Caminho Crítico (CPM): O que é e como utilizar na Gestão de Projetos?”
é possivel haver 2 caminhos criticos?
Sim, é possível. Mas não é bom que tenha, pois, as atividades do caminho crítico possuem folga total nula, assim, se alguma dessas atividades atrasar, todo o projeto sofrerá atraso.
Bom dia Andre,
É possivel sim, pois muitas vezes o processo apresenta várias fases com o mesmo e maior tempo de duração, onde devemos estar atentos para que não ocorram anomalias, para que o projeto não atrase.
Um grande abraço!
Rosemary
Sou estudante do Curso Técnico de Logística e pesquisando na internet sobre o CC encontrei o seu artigo.
Gostaria de fazer-lhe uma pergunta objetiva, que foi motivo de discussão entre eu e a professora, o que dividiu a classe, com parte me apoiando e parte concordando com a mesma.
Pois vamos à pergunta, que nos foi feita pela professora:
“A melhor situação em um projeto, é quando existe APENAS um caminho crítico ou quando TODOS os caminhos são críticos?”
Um forte abraço e obrigado desde já pela atenção.
Rosalvo Ribeiro.
quando se aumenta a quantidade de recursos em uma atividade , espera-se que ela passe a ter uma duração menor ou maior que a duração inicial?
Prezada Rosemary,
Estou com o livro do Prof. Davis, Aquilano e Chase (2001), aberto na página 366, e quase tudo o que você disse acima, está escrito de forma IDÊNTICA lá.
Se você não colocou entre aspas, logo, “seu” artigo pode ser considerado mero PLÁGIO. O que não considero positivo para um Blog de Qualidade.
Att,
Prof. Msc. Jorge
Olá Professor Jorge, como vai?
Sou redator do Blog da Qualidade. Nós realizamos um processo bastante rigoroso de revisão no blog e buscamos ao máximo identificar cópias e evitar plágios. Vasculhamos a internet em busca de publicações idênticas e barramos artigos que já tenham sido publicados em outras plataformas mesmo que o próprio autor queira publicar.
Infelizmente não conseguimos fazer a mesma busca em livros, devido a grande quantidade de publicações e ao acesso não tão amplo. Agradeço seu apontamento e peço desculpas por isso, vamos analisar a denúncia e assim que constatado o plágio iremos excluir a publicação e notificar a “autora”.
Por hora, muito grato pela sua constatação.
Grande abraço, espero que continue lendo nossos artigos.
Olá Jorge, como vai?
Eu vasculhei a internet em busca do livro e de alguma indicação de que o texto havia sido plagiado, infelizmente não encontrei nada na web. Eu verifiquei o livre e realmente validei o que você disse.
Esse post é bastante antigo, e o nosso processo de manutenção do blog foi revisado e passou por muitas modificações, então talvez ele tenha passado com esse problema devido ao processo ainda não ser tão bom no início do blog. De qualquer forma, pesso desculpas por isso em nome de todo o blog.
Eu reescrevi TODO o conteúdo do post, tornando-o 100% autoral, inclusive, ficou melhor e mais claro do que o texto anterior, espero que você e os leitores gostem.
Agradeço muito pelo aviso, pois sem ele talvez não perceberíamos o erro, por sermos uma equipe diferente da equipe que estava no blog quando este post foi publicado.
Um abraço, e até a próxima!
De nada, professor Jorge.
Mas B e C duram ambos 3 dias!
O dia de folga seria para a atividade C e não B.
Considerando 3 dias de execução para B e 2 dias de execução para C para chegarem no mesmo ponto, e, daí então partir para a tarefa E. Como mencionou.
vou chamar no linkedin!
Prezados!!!!!
Achei interessante todas as contribuicoes aqui dadas, e para que fique blindado na matéria peco o favor de partilha do livro do Prof. Davis, Aquilano e Chase (2001), e sobre a materia PERT/CPM
Olá Afonso, obrigada pela contribuição!
Pingback: Kaizen na área de Manutenção Industrial - PLANETEC
Pingback: Modelo de Planilha para Diagrama de Gantt - Zeplanilha